;
Os isômeros espaciais possuem a mesma fórmula estrutural plana e a mesma fórmula molecular, diferenciando apenas nas fórmulas estruturais espaciais (três dimensões). Duas substâncias relacionadas através de isomeria espacial são chamadas de estereoisômeros.
Um composto de cadeia aberta apresenta isomeria geométrica cis-trans quando tiver dupla ligação carbono-carbono, e tiver ligantes diferentes a cada carbono da dupla ligação.

Os isômeros cis e trans diferem pela fórmula espacial. No isômero cis, os ligantes iguais ficam do mesmo lado do plano da dupla ligação. No isômero trans, os ligantes iguais ficam em lados opostos ao plano da dupla.

Para compostos de cadeia fechada, em pelo menos dois átomos de carbono do ciclo, devemos encontrar dois ligantes diferentes entre si.
Os isômeros cis-trans apresentam propriedades químicas iguais, porém possuem propriedades físicas diferentes.
Os isômeros apresentam a capacidade de desviar o plano da luz polarizada.
Para que o isômero possua essa capacidade, deve apresentar carbono assimétrico ou carbono quiral (C*) que possui quatro ligantes, e este deve ser assimétrico (S), ou seja, possuir quatro ligantes diferentes.
As substâncias podem ser dextrogiras (desviam o plano da luz polarizada para a direita), ou levógiras (desviam o plano da luz polarizada para a esquerda).
Isômeros cujas moléculas se comportam como imagem espelho uma da outra são chamadas de enantiômeros.

Enatiômeros (imagens especulares)
ácido lático dextrógiro, ácido d-lático ou ácido (+) lático
ácido lático levógiro, ácido l-lático ou ácido (-) lático
A mistura de dois enantiômeros na mesma proporção forma uma mistura racêmica.Quanto maior o número de átomos de carbono assimétricos em uma molécula, temos um maior número de moléculas espacialmente diferentes.
Substâncias com um átomo de carbono assimétrico tem duas moléculas espacialmente diferentes, sendo uma dextrogira e uma levogira.
Substâncias com dois átomos de carbono assimétrico diferentes tem quatro moléculas espacialmente diferentes, sendo duas dextrogiras e duas levógiras.
Substâncias com dois átomos de carbono assimétrico iguais tem três moléculas espacialmente diferentes, sendo uma dextrogira, uma levógira e uma ópticamente inativa chamada meso.

2 isômeros opticamente ativos e 2 isômeros inativos (mistura racêmica e mesógiro0)
(UERJ) Observe abaixo as fórmulas estruturais espaciais dos principais compostos do óleo de citronela, produto empregado como repelente de mosquitos.
Considerando essas fórmulas estruturais, a quantidade de compostos que apresentam isômeros espaciais geométricos é igual a:
(FUVEST - SP) Quantos isômeros geométricos do aldeído cinâmico são previstos?
(UNB – DF - Adaptado) Analisando os compostos a seguir:
1) 2-metilbut-2-eno.
2) Hex-2-eno.
3) 1,3-dimetilciclobutano.
4) But-2-eno.
5) 1,2-dimetilbenzeno.
6) 1,2-diclorociclopenteno.
Possuem isomeria geométrica somente os compostos:
(PUC) A representação:
está indicando dois isômeros:
(UNESP – SP) No organismo humano, devido à natureza das membranas celulares, os medicamentos são absorvidos em sua forma neutra. Considere os medicamentos aspirina e anfetamina, cujas fórmulas estruturais são:

Considere as seguintes afirmações:
I. Ambos os medicamentos apresentam a função amina.
II. Só a anfetamina apresenta átomo de carbono quiral.
III. Só a molécula de anfetamina apresenta átomos com pares eletrônicos isolados.
São verdadeiras as afirmações
(UEPG – PR) Sobre carbono assimétrica e isomeria óptica, assinale o que for correto.
(UNICENTRO - PR) Drogas, à base de anfetamina, vêm sendo muito utilizadas para obtenção da sensação de euforia. Na verdade, ela é um medicamento indicado para depressão ou para emagrecimento (inibe a sensação de fome), sob orientação médica. Abaixo está representada a molécula de anfetamina. Com relação à estrutura acima, é correto afirmar que a molécula:

Com relação à estrutura acima, é correto afirmar que a molécula:
(USS - RJ) O número de aminas primárias de fórmula \({{C}_{4}}{{H}_{11}}N\), opticamente ativas, é igual a:
(PUC - SP) Os alcanos apresentam entre si somente isomerias:
(FCC-SP) Um composto meso é opticamente inativo porque:
(UEL - PR) A margarina é obtida através do processo de hidrogenação de óleos vegetais. Durante o processo de hidrogenação parcial dos óleos, átomos de hidrogênio são adicionados às duplas ligações dos triglicerídeos, formando, além dos compostos saturados, ácidos graxos praticamente ausentes no óleo original. Dois isômeros que se formam estão representados nas estruturas I e II. A ingestão do isômero representado na estrutura II pode aumentar o risco de doenças coronárias. Além disso, várias pesquisas demonstram também o efeito carcinógeno desse ácido graxo.
Considerando as estruturas I e II, pode-se afirmar corretamente que a isomeria entre elas é:
(UDESC - SC) Examinando a estrutura química dada abaixo, assinale a alternativa CORRETA.
(UFPE - PE) O óleo de soja, comumente utilizado na cozinha, contém diversos triglicerídeos (gorduras), provenientes de diversos ácidos graxos, dentre os quais temos os mostrados abaixo. Sobre esses compostos, podemos afirmar que:

(UFTM - MG) A asparagina é um aminoácido que pode ser fabricado pelo organismo. Este composto apresenta isomeria óptica

A quantidade de misturas racêmicas possíveis é
(ITA - SP) Qual das substâncias abaixo pode ter isômeros ópticos, ou seja, contém carbono quiral?
(UEPG - PR) A talidomida foi desenvolvida na Alemanha em 1954, com o objetivo de reduzir a ansiedade e a tensão e evitar náuseas, principalmente durante a gravidez. Os testes realizados naquela época foram insuficientes para detectar alguns efeitos que se revelaram desastrosos: milhares de mortes intrauterinas e o nascimento de bebês com deficiências em todo o mundo. Foi descoberto mais tarde que, enquanto um enantiômero da talidomida tem os efeitos desejados descritos acima, o outro enantiômero causa anomalias nos fetos. Hoje, essa mesma droga está sendo utilizada na sua forma racêmica no tratamento de outras doenças, como, por exemplo, a AIDS.
Sobre este assunto, assinale o que for correto.
(FGV - SP) A figura apresenta a estrutura química de dois conhecidos estimulantes.

A cafeína, quase todas as pessoas a consomem diariamente, ao tomarem um cafezinho. A anfetamina é considerada uma droga ilícita, e algumas pessoas fazem o uso desta droga, como caminhoneiros, para provocar insônia, e jovens, obsessivos por sua forma física, para provocar perda de apetite e redução de peso. A perda de apetite gerada pelo seu uso constante pode transformar-se em anorexia, um estado no qual a pessoa passa a sentir dificuldade para comer, resultando em sérias perdas de peso, desnutrição e até morte. A substância que apresenta carbono assimétrico e os grupos funcionais encontrados nas estruturas destes estimulantes, são, respectivamente,
(UFF - RJ) A adrenalina é uma substância produzida no organismo humano capaz de afetar o batimento cardíaco, a metabolização e a respiração. Muitas substâncias preparadas em laboratório têm estruturas semelhantes à adrenalina e em muitos casos são usadas indevidamente como estimulantes para a prática de esportes e para causar um estado de euforia no usuário de drogas em festas raves. A DOPA é uma substância intermediária na biossíntese da adrenalina.
Observe a estrutura da DOPA.

Assinale a opção correta.
(UFPR - PR) Capaz de combater uma variedade de microrganismos aeróbicos e anaeróbicos, o cloranfenicol é um antibiótico de uso humano e animal, cuja estrutura é:

Quanto à estrutura química do cloranfenicol, considere as seguintes afirmativas:
1. A substância apresenta um grupo amino ligado ao anel aromático.
2. Existe um grupamento álcool em carbono terciário na estrutura.
3. Esse composto apresenta 2 (dois) átomos de carbono assimétricos.
4. A molécula apresenta o grupo funcional cetona.
5. O anel aromático presente na estrutura é para-dissubstituído.
Assinale a alternativa correta.
(UNESP - SP) Durante a produção do anti-inflamatório Naproxen, um isômero inativo pode ser obtido, conforme se observa nas seguintes estruturas:
O tipo de isomeria que relaciona a forma inativa à forma bioativa do Naproxen é a
(UFMA - MA) Quantos isômeros geométricos são possíveis a partir do composto 2,4-hexadieno?
(UEPG - PR) Observou-se que o consumo moderado de vinho tinto protege o sistema cardiovascular, e esse efeito foi atribuído aos compostos poli fenólicos, especialmente ao resveratrol, representado nas estruturas abaixo:
Assinale o que for correto.
(ITA - SP) Assinale a opção que contém o par de substâncias que, nas mesmas condições de pressão e temperatura, apresenta propriedades físico-químicas iguais.
(UFMS - MS) Considerando os isômeros de cadeia do butano, é correto afirmar que o número total de derivados monoclorados para esses isômeros é
(UFSC - SC) Escolha a(s) proposição(ões) CORRETA(S) sobre o composto:
\[C{{H}_{3}}C{{H}_{2}}CH(CH)COC{{H}_{3}}\]
(PUC - MG) O cheiro desagradável emitido por gambás se deve a vários componentes, dentre eles o \(C{{H}_{3}}-CH=CH-C{{H}_{2}}SH\), tido como o de pior odor. O composto considerado apresenta o seguinte tipo de isomeria, EXCETO:
(ITA - SP) Qual das opções a seguir é a CORRETA?
(ITA - SP) Em relação à sacarose são feitas as seguintes afirmações:
I. É uma substância apolar.
II. É muito solúvel em benzeno.
III. Por hidrólise, um mol de sacarose fornece dois mols de dextrose.
IV. Suas soluções aquosas não apresentam condutividade elétrica apreciável.
V. Suas soluções aquosas podem girar o plano de polarização da luz.
Das afirmações estão CORRETAS:
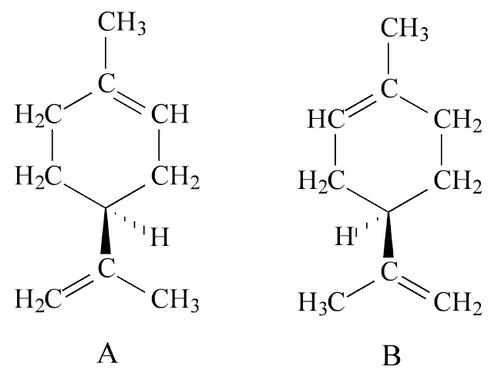
(FURG - RS) Os isômeros do limoneno, representados pelas estruturas abaixo, possuem fragrâncias distintas. O isômero A ocorre no fruto dos pinheiros e tem odor semelhante ao da terebintina. O isômero B é responsável pelo odor característico das laranjas.

Sobre as moléculas A e B é correto dizer que são
(UFRRJ – RJ) Das substâncias apresentadas abaixo, a que apresenta isomeria óptica é:
Você chegou ao fim dessa aula com sucesso!
Selecione o botão avançar para seguir para a próxima aula.